近日,食品與生物工程學院食品營養與安全團隊在《Food Chemistry》(中科院一區TOP,IF: 9.8)發表題為“Ratio electrochemical sensing strategy based on hemin/CNT/Ti3C2Txfor highly sensitive detection of synephrine in citrus honey”的研究性論文。食品與生物工程學院劉振平教授為第一作者,通訊作者為重慶大學侯長軍教授、霍丹群教授和西華大學食品與生物工程學院陳祥貴教授。

論文截圖
我國柑橘種植面積和蜜蜂養殖規模均居世界首位,柑橘蜂蜜以其獨特的風味、口感和功能特性廣受消費者青睞,是重要的特色商品蜜種,經濟開發價值巨大。辛弗林是柑橘蜂蜜的特征標志物,其存在與否及含量可直接用于判斷柑橘蜂蜜的真偽。
西華大學食品與生物工程學院依托“川渝共建特色食品重慶市重點實驗室” 與重慶大學、重慶安全技術職業學院共同開展科研攻關,創新開發了基于功能化材料Hemin/CNT/Ti?C?T?的比率電化學傳感策略,并成功應用于蜂蜜樣品中辛弗林含量的檢測。本研究實現了柑橘蜂蜜的真實性精準快速鑒別,為柑橘蜂蜜質量控制提供了可靠保障,也為柑橘蜂蜜資源的進一步開發利用奠定了基礎。

研究亮點
開發了用于比率電化學傳感的新型金屬卟啉材料。
Hemin/CNT/Ti?C?T?的電化學傳感性能得到顯著提升。
通過比率電化學傳感策略實現了辛弗林的高靈敏檢測。
辛弗林傳感策略的準確性在實際樣品的檢測中得到驗證。
研究結論
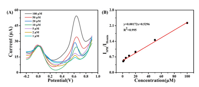
成功合成Hemin/CNT/Ti?C?T?功能雜化材料,其兼具優異的富集能力、高導電性和催化活性,基于該材料構建的比率電化學傳感策略,電化學信號與辛弗林濃度在1-100 μM范圍內呈現良好的線性關系,檢測限低至0.036μM,且具有出色的重復性、穩定性和抗干擾性。
該傳感策略可有效應對蜂蜜復雜基質干擾,成功應用于實際蜂蜜樣品檢測,能準確識別柑橘蜂蜜中的辛弗林,與HPLC檢測結果一致,為柑橘蜂蜜的真偽鑒別和質量控制提供了可靠技術手段。
該策略符合可持續發展理念,材料成本低、制備過程環保,適配聯合國可持續發展目標,且操作簡便、檢測快速,在食品安全監管、消費者權益保護等方面具有廣泛應用前景,也為復雜基質食品中特征標志物檢測提供了新范式。
圖文賞析

不同材料的SEM/TEM圖,展示Ti?C?T?等的結構特征及復合后的三維結構

EDS元素映射、FT-IR和XRD圖,確認材料成分及結

圖3 XPS全譜及高分辨譜,揭示材料元素組成與化學鍵類型

CV曲線,體現材料電化學性能及掃描速率對SPR信號的影響

修飾體積、pH條件優化及峰電位與pH的線性關系

圖6 目標物吸附示意圖、催化性能DPV 曲線及催化機理與DFT分析

不同SPR濃度的DPV曲線及校準曲線
第一作者簡介:

劉振平,博士,教授,碩士研究生導師,重慶市高校黃大年式教師團隊帶頭人,重慶市“教書育人楷模”,重慶市“最美教師”,重慶市國家“三區”科技人才,主要研究方向為食品營養與質量安全控制及區域特色食品資源開發利用,先后主持或主研省部級各類科研項目及行業企業應用技術開發項目20余項,編寫出版教材5部,申請及授權國家發明專利9件,以第一作者或通訊作者在國內外權威期刊發表學術論文20余篇,牽頭開發暢銷產品20余個,獲全國商業科技進步獎、產品及技術創新獎4項,牽頭構建了重慶三峽庫區蜂產品質量安全控制體系,相關成果在中央電視臺、學習強國學習平臺、華龍網等主流媒體或平臺報道,產生了顯著的經濟和社會效益。擔任Top期刊《Journal of Agricultural and Food Chemistry》《發光學報》《美食研究》等權威期刊審稿專家,《食品工業科技》青年編委,重慶市食品科學技術學會理事、食品生物工程專業委員會副主任,中國食品科學技術學會會員。

川公網安備 51010602000503號