近日,理學院王繼宇教授團隊在國際Top學術期刊Organic Letters(中科院一區,IF = 4.9)上發表題為“Fe(III)-Catalyzed Ring Expansion of Cyclopropenone from Olefins via Radicals to Access Pyrone and Indanone Derivatives”的研究論文,且被評為當期封面文章并進行亮點介紹。王繼宇教授為論文通訊作者,西華大學碩士研究生肖瑤為論文第一作者,西華大學為該論文的第一完成單位。

論文截圖

論文被評為當期封面文章并進行亮點介紹
吡喃酮是一類重要天然產物的核心結構,Fostriecin、Cytostatin、Anguinomycin、Pironetin等,該類化合物具有廣泛的生物活性,包括抗腫瘤活性,磷酸酶抑制性,抗增殖活性,抗微生物活性。此外,茚酮類化合物也具有一定生物活性,一些茚酮化合物已被開發為藥物,如用于治療阿爾茨海默病的Donepezil、用作降壓藥物的Indanocine。目前對于這兩種化合物的合成方法多有報道,但依然存在步驟繁瑣、成本昂貴等不足之處。
還原自由基策略在C?C鍵的構建中起著重要作用,基于作者前期的工作基礎,作者感興趣能否通過該策略實現自由基對張力環的擴環反應。作者設計了Fe催化的非活化烯烴對環丙烯酮的擴環反應,合成了一系列結構新穎的吡喃酮和茚酮衍生物。
作者以2,3-二苯基環丙-2-烯酮和2-甲基-2-丙烯-1-醇作為模板底物,對該反應的催化劑,還原劑,溶劑,溫度和時間進行篩選,進而確定了最佳的反應條件為:2,3-二苯基環丙-2-烯酮與2-甲基-2-丙烯-1-醇投料比為1:3,以30 mol%的乙酰丙酮鐵為催化劑,2 equiv的苯硅烷為還原劑,乙醇做溶劑,于60攝氏度的油浴鍋中反應24小時,反應收率為78 %。產物結構通過1H NMR,13C NMR,HR-MS、XRD進行了確認。
該反應表現出良好的底物普適性。各種環狀烯丙醇和具有不同取代基的烯丙醇,包括甲基、鹵素、芳環,以中等到優異的收率下得到目標化合物。反應也兼容不同的環丙烯酮,各種取代的二苯基環丙烯酮、單邊苯基環丙烯酮、單邊烷基環丙烯酮順利生成了不同的吡喃酮分子。同時,當反應底物變為烯烴時,各種不同取代基的烯烴,如苯基、烷基或環烷基,反應均能順利發生,以中等到良好的收率得到茚酮化合物。

吡喃酮的底物擴展

茚酮的底物擴展
在模板條件下,作者使用香茅醇和松油醇作為自由基前體與環丙烯酮反應,也可以獲得茚酮化合物。這一過程表明,該方法可以為具有類似結構的天然產物或藥物的后修飾提供一個新思路。此外,合成的茚酮化合物可以方便地轉化為相應的茚醇和全取代的茚醇衍生物。
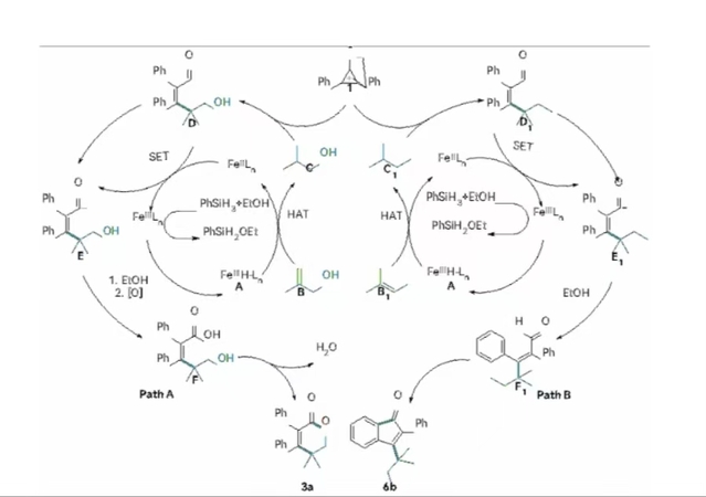
最后,作者根據控制實驗和相關文獻提出了一個可能的機理。其機制主要包括氫原子轉移、自由基串聯、脫水縮合和Friedel-Crafts?;^程。

可能的機理
綜上所述,作者開發了一種Fe(III)催化的環丙烯酮和受體烯烴的自由基擴環策略,構建了一系列新型的2H-吡喃酮和完全取代的1-茚酮。作者還提出了可能的機理:氫原子轉移形成烷基自由基,自由基打開環丙烯酮的三元環,生成中間體。中間體有兩條反應途徑:當烯烴的β位有一個羥基時,反應生成2H-吡喃酮,否則生成1-茚酮。該方法具有反應條件溫和、底物適應性廣、原料便宜易得等優點。
該研究得到了四川省高等教育研究院綠色催化重點實驗室開放項目(編號:LYJ2405)的支持。
作者介紹:
王繼宇教授:西華大學理學院化學系教師,中國科學院大學有機化學博士,碩士生導師,四川省海外高層次留學人才、四川省專家服務團專家、成都市特聘專家。2013年至2014年在美國科羅拉多州立大學化學系博士后,師從美國Cope獎獲得者Robert M. Williams,從事天然產物全合成工作。目前,主要從事通過自由基構建碳碳鍵和碳雜鍵、綠色合成化學及有機功能分子的設計與性能研究、兩親性分子的結構設計與性能研究等方面的研究工作。在Organic Letters、Chemical Communication、Organic Chemistry Frontiers、Advanced Synthesis & Catalysis、Journal of Organic Chemistry、Organic & Biomolecular Chemistry等國際國內期刊發表文章近50篇,申請中國發明專利30余項,授權中國發明專利15項。


川公網安備 51010602000503號